Contenido principal

Estudios y estadísticas

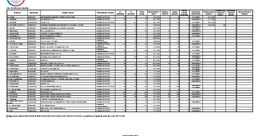
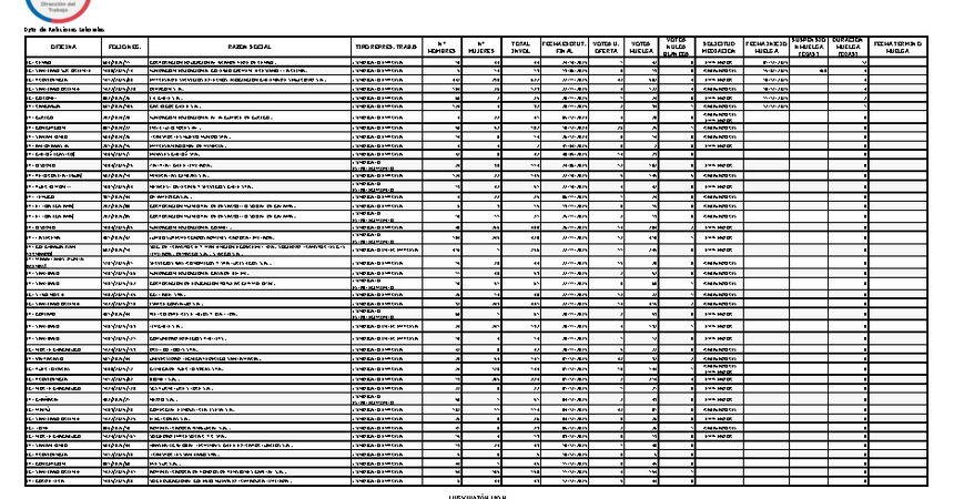
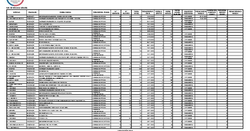
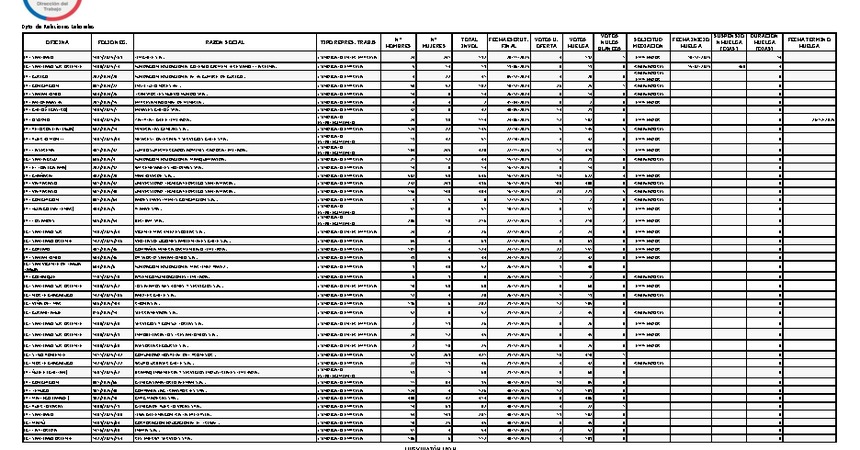
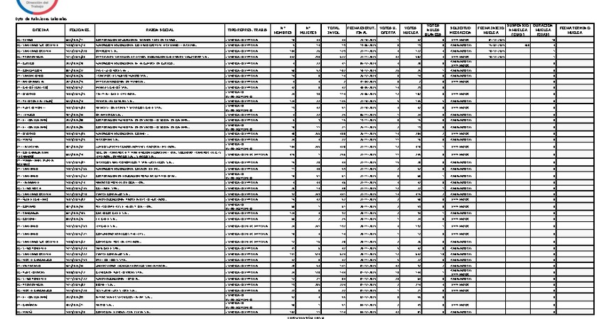
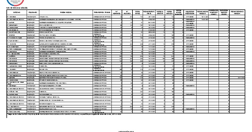
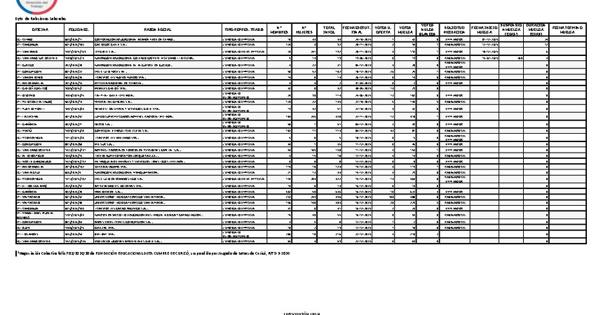
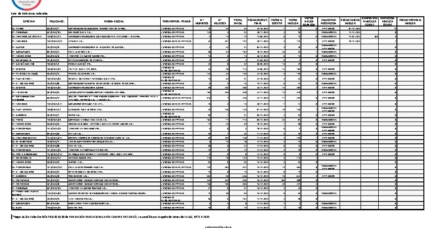
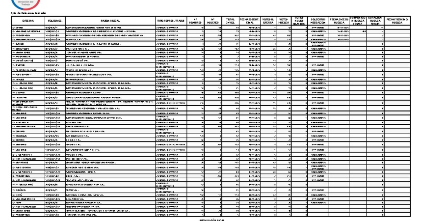
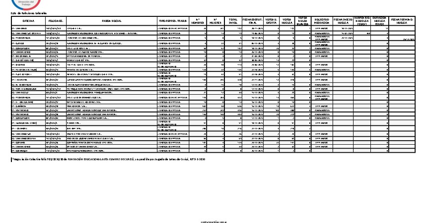
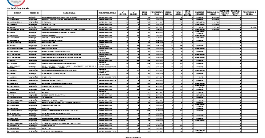
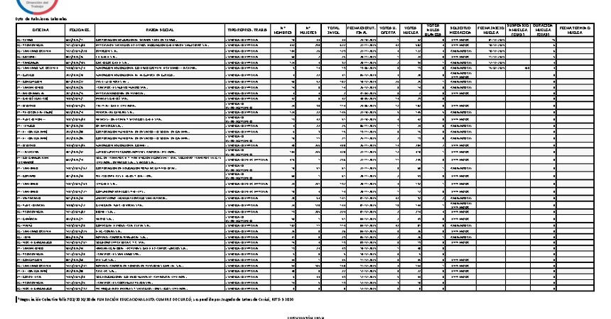
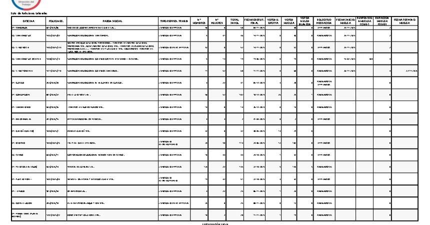
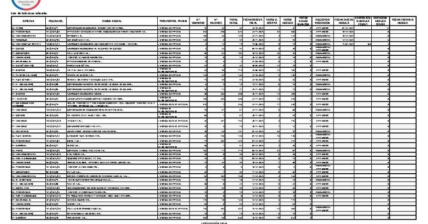
Informe diario de huelgas legales Diciembre 2025

Informe 31.12.2025Informe 31.12.2025pdf179.3kb Informe 30.12.2025Informe 30.12.2025pdf164.1kb Informe 29.12.2025Informe 29.12.2025pdf156.7kb Informe 26.12.2025Informe 26.12.2025pdf160kb Informe 24.12.2025Informe 24.12.2025pdf158.5kb Informe 23.12.2025Informe 23.12.2025pdf161.2kb Informe 22.12.2025Informe 22.12.2025pdf163.7kb Informe 19.12.2025Informe 19.12.2025pdf173.2kb Informe 18.12.2025Informe 18.12.2025pdf185.7kb Informe 17.12.2025Informe 17.12.2025pdf181.3kb Informe 16.12.2025Informe 16.12.2025pdf178.9kb Informe 15.12.2025Informe 15.12.2025pdf171.4kb Informe 12.12.2025Informe 12.12.2025pdf178kb Informe 11.12.2025Informe 11.12.2025pdf178kb Informe 10.12.2025Informe 10.12.2025pdf180.9kb Informe 09.12.2025Informe 09.12.2025pdf189.3kb Informe 05.12.2025Informe 05.12.2025pdf189.8kb Informe 04.12.2025Informe 04.12.2025pdf197.3kb Informe 03.12.2025Informe 03.12.2025pdf200kb Informe 02.12.2025Informe 02.12.2025pdf208.6kb Informe 01.12.2025Informe 01.12.2025pdf209.9kb