Contenido principal

Estudios y estadísticas

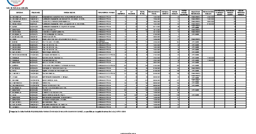
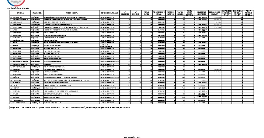
Informe diario de huelgas legales Agosto 2025

Informe 29.08.2025Informe 29.08.2025pdf198.8kb Informe 28.08.2025Informe 28.08.2025pdf187kb Informe 27.08.2025Informe 27.08.2025pdf174.8kb Informe 26.08.2025Informe 26.08.2025pdf170.7kb Informe 25.08.2025Informe 25.08.2025pdf167.7kb Informe 22.08.2025Informe 22.08.2025pdf164.9kb Informe 21.08.2025Informe 21.08.2025pdf163.8kb Informe 20.08.2025Informe 20.08.2025pdf164.3kb Informe 19.08.2025Informe 19.08.2025pdf167.5kb Informe 18.08.2025Informe 18.08.2025pdf165.8kb Informe 14.08.2025Informe 14.08.2025pdf165.2kb Informe 13.08.2025Informe 13.08.2025pdf160.9kb Informe 12.08.2025Informe 12.08.2025pdf168.1kb Informe 11.08.2025Informe 11.08.2025pdf170.4kb Informe 08.08.2025Informe 08.08.2025pdf193.5kb Informe 07.08.2025Informe 07.08.2025pdf192.6kb Informe 06.08.2025Informe 06.08.2025pdf199.2kb Informe 05.08.2025Informe 05.08.2025pdf200.1kb Informe 04.08.2025Informe 04.08.2025pdf201.4kb Informe 01.08.2025Informe 01.08.2025pdf200.8kb