Contenido principal

Estudios y estadísticas

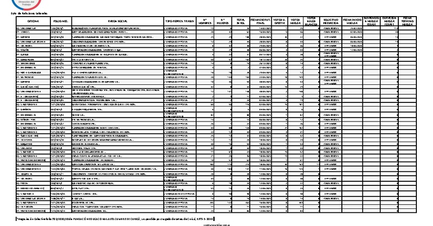
Informe diario de huelgas legales junio 2025

Informe 30.06.2025Informe 30.06.2025pdf186.8kb Informe 27.06.2025Informe 27.06.2025pdf179kb Informe 26.06.2025Informe 26.06.2025pdf169.4kb Informe 25.06.2025Informe 25.06.2025pdf168.3kb Informe 24.06.2025Informe 24.06.2025pdf170.2kb Informe 23.06.2025Informe 23.06.2025pdf166.3kb Informe 19.06.2025Informe 19.06.2025pdf169kb Informe 18.06.2025Informe 18.06.2025pdf172.8kb Informe 17.06.2025Informe 17.06.2025pdf181kb Informe 16.06.2025Informe 16.06.2025pdf182.5kb Informe 13.06.2025Informe 13.06.2025pdf182.1kb Informe 12.06.2025Informe 12.06.2025pdf192.9kb Informe 11.06.2025Informe 11.06.2025pdf193.7kb Informe 10.06.2025Informe 10.06.2025pdf191.3kb Informe 09.06.2025Informe 09.06.2025pdf193.1kb Informe 06.06.2025Informe 06.06.2025pdf196.5kb Informe 05.06.2025Informe 05.06.2025pdf199.8kb Informe 04.06.2025Informe 04.06.2025pdf197.6kb Informe 03.06.2025Informe 03.06.2025pdf195kb Informe 02.06.2025Informe 02.06.2025pdf194.7kb